
互联网安全

通信链路安全 加解密相关常见概念 密钥 密钥与算法一起使用,密钥+算法+明文=密文 密钥根据算法的不同,一般会是一个(对称加密)或者一对(非对称加密) 公私钥 公私钥一直是一个比较容易混淆的概念,这里仔细说下 公私钥首先存在于非对称加密的场景 密钥本身并没有所谓公私的概念,所谓公私只取决于你对他的使用,比如,密钥A和B是一对密钥,A和B都能对彼此加…

分库分表使用规范
建模过程总结
工作记录:新生代老年代比例错误问题
计算机网络学习笔记-TCP
基于Quorum投票的冗余控制算法
Java与Mysql锁相关知识总结
《软件方法》读后感

1 设计规范 1.1 必须使用分布式主键 解读: l 分库分表后使用依旧使用自增主键会导致后续分库分表扩容时主键全部需要重写,并且其他数据依赖方(如大数据)取数聚合计算时出现冲突 l 主键就是对数据的唯一标识键,哪怕分库分表了也应该是如此 1.2 分库分表前需要谨慎评估是否真的需要分库分表 解读: l 分库分表会带来更多的问题,不带分表键的查询都不…
整个建模过程,个人总结来说应该分为3个阶段 前期准备工作,了解问题领域的现状,做好目标分析 做好模块的划分以及具体模块的设计 对整个项目进行总结反思,包括目标的达成情况、设计的实现情况,设计是否存在不合理 前期准备工作 了解问题领域 了解业务概况 在这一步,我们需要了解现在业务的“概况”,强调一定是概况,现在还没到具体详细分析业务的时候。了解业务概…
线上排查:新生代老年代比例错误问题 起因 线上一个应用频繁full gc,排查发现单pod总内存3g的情况下新生代只有200mb,很奇怪,于是到容器里查看jvm参数。 jamp -heap 1,打印 Heap Configuration: MinHeapFreeRatio = 40 MaxHeapFreeRatio = 70 MaxHeapSize…
TCP中的超时时间计算-指数移动加权平均 TCP协议使用指数移动加权平均来计算和预估往返时间RTT。这个东西比较巧妙,比较值得借鉴。 我们假设在某一个时间对往返时间RTT进行一次样本的测量,得到SampleRTT,那么我们对于我们设置均值RTT-EstimatedRTT,可以通过指数移动加权平均来不断迭代: EstimatedRTT = (1 -a…
基于Quorum投票的冗余控制算法 描述(维基百科) 在有冗余数据的分布式存储系统当中,冗余数据对象会在不同的机器之间存放多份拷贝。但是同一时刻一个数据对象的多份拷贝只能用于读或者用于写。 该算法可以保证同一份数据对象的多份拷贝不会被超过两个访问对象读写。 算法来源于[Gifford, 1979][3][1]。 分布式系统中的每一份数据拷贝对象都被…
锁的定义 在计算机程序中锁用于独占资源,获取到锁才可以操作对应的资源。 锁的实现 锁在计算机底层的实现,依赖于CPU提供的CAS指令(compare and swsp),对于一个内存地址,会比较原值以及尝试去修改的值,通过值是否修改成功,来表示是否强占到了这个锁。 JVM中的锁 jvm中,有2个常用的锁 synchronized synchroni…
前言 近日,苦于不知道该怎么提升自己了,在原来老大的建议下,决定去学习一些关于建模和软件设计领域的书籍,来解决解决自己“感觉不对,但是说不清楚为什么不对”以及“感觉这么搞就对了,但是不知道为什么这么去规划,这么去划分就对” 第一本看的是潘加宇老师的《软件方法(上)业务建模和需求》,本篇读后感不再对文里的概念和内容一一赘述,只说说个人提炼到的收获 业…

线上排查:内存异常使用导致full gc频繁

线上排查:内存异常使用导致full gc频繁 问题系统 日常巡检发现,应用线上出现频繁full gc 现象 应用线上出现频繁full gc 排查过程 分析dump 拉dump文件:小插曲:dump时如果指定:live,则在dump前jvm会先进行一次full gc,并且gc log里会打印dump full gc,这种对非内存泄漏导致的线上异常内存…

贝叶斯概率以及贝叶斯公式
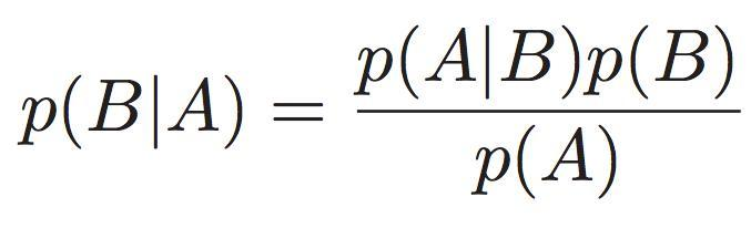
贝叶斯概率以及贝叶斯公式 前言 看到归纳推理,然后看到的这个概念,稍微了解了下,比较有意思也比较有意义,所以记录下 写的比较好留着以后继续参考的文章https://www.zhihu.com/column/p/347194251 描述 总而言之,我们定义事件A的概率为P(A),事件B的概率为P(B),B发生的情况下A发生的概率为P(A|B) 那么对…